A Estratégia Ping Pong com Canal Donchian é uma abordagem de reversão de tendência baseada no Canal Donchian e em uma caixa de ação de preço. Este artigo irá explicar detalhadamente como essa estratégia funciona, suas condições de entrada e saída, e fornecer dicas valiosas para maximizar seus lucros.
O que é a Estratégia Ping Pong com Canal Donchian?
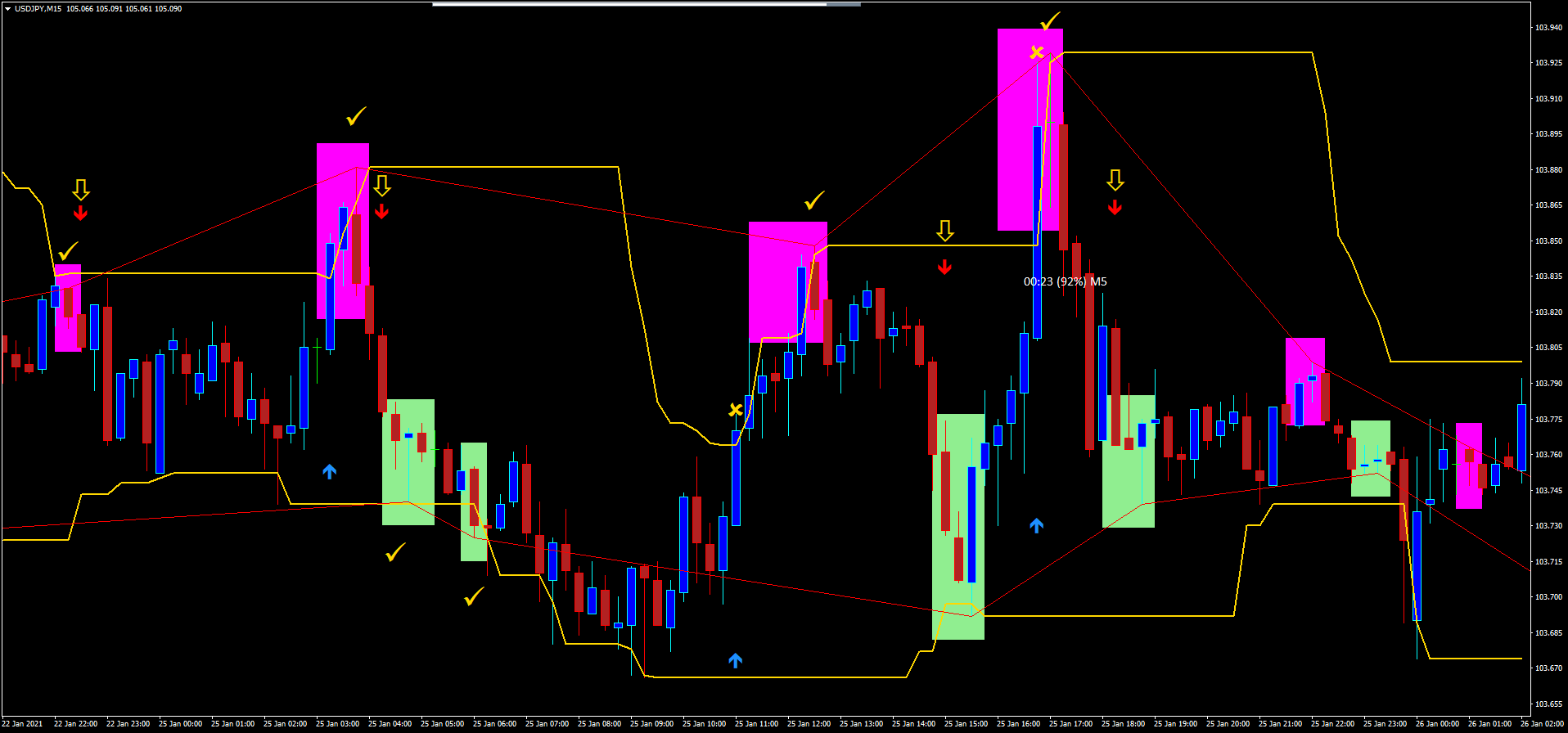
A Estratégia Ping Pong com Canal Donchian procura por mudanças de preço nos canais Donchian, filtradas pelo aparecimento de uma caixa de ação de preço. As condições de entrada são simples: o preço deve sair ou tocar os canais, e uma caixa de ação de preço deve ser formada. O momento da entrada é dado pelo aparecimento de uma seta na direção oposta ao canal.
Indicadores Utilizados
- Canal Donchian (20 períodos): Um indicador de volatilidade que mostra as bandas superior e inferior baseadas nos preços altos e baixos dos últimos 20 períodos.
- Double SV: Indicador personalizado para identificar sinais de compra e venda.
- Half Trend (Amplitude de Compra e Venda 2): Um indicador de tendência que ajuda a identificar pontos de reversão no mercado.
Condições de Entrada e Saída
Compra
- Condições Essenciais:
- O preço toca ou sai da banda inferior.
- Durante esse período, uma caixa deve se formar.
- Quando uma seta de compra aparecer, compre no fechamento da vela ou na abertura da próxima.
- Gestão de Risco:
- Coloque o stop loss inicial no próximo fundo oscilante.
- Saia da posição na seta oposta ou com um alvo de lucro predeterminado com uma relação mínima de 1:1.2.
Venda
- Condições Essenciais:
- O preço toca ou sai da banda superior.
- Durante esse período, uma caixa deve se formar.
- Quando uma seta de venda aparecer, venda no fechamento da vela ou na abertura da próxima.
- Gestão de Risco:
- Coloque o stop loss inicial no próximo topo oscilante.
- Saia da posição na seta oposta ou com um alvo de lucro predeterminado com uma relação mínima de 1:1.2.
Nota: Não entre em posição se uma vela fechar fora dos canais.
Tabela de Setup da Estratégia
| Configuração | Detalhes |
|---|---|
| Time frame | 5 minutos ou superior |
| Pares de moedas | Qualquer |
| Indicadores no MT4 | Double SV, Canal Donchian (20 períodos), Half Trend (amplitude 2) |
Explicação Detalhada dos Indicadores
Canal Donchian: Este indicador é utilizado para identificar os pontos altos e baixos dos últimos 20 períodos, fornecendo um contexto de volatilidade que ajuda a identificar possíveis pontos de reversão de preço.
Double SV: Este indicador personalizado ajuda a identificar sinais claros de compra e venda, tornando a estratégia mais robusta e precisa.
Half Trend: O indicador de Half Trend é útil para identificar pontos de reversão, ajudando a entrar e sair de posições com maior precisão.
Perguntas Frequentes
O que é a Estratégia Ping Pong com Canal Donchian?
A Estratégia Ping Pong com Canal Donchian é uma estratégia de reversão de tendência que utiliza o Canal Donchian e uma caixa de ação de preço para identificar pontos de entrada e saída no mercado.
Quais são os indicadores necessários para essa estratégia?
Os indicadores necessários são: Canal Donchian (20 períodos), Double SV e Half Trend com amplitude de compra e venda 2.
Qual é o melhor time frame para usar essa estratégia?
O melhor time frame é de 5 minutos ou superior, mas a estratégia pode ser adaptada para diferentes intervalos de tempo.
Como funciona a condição de entrada de compra?
Para uma entrada de compra, o preço deve tocar ou sair da banda inferior do Canal Donchian, uma caixa de ação de preço deve se formar, e uma seta de compra deve aparecer. A compra é realizada no fechamento da vela ou na abertura da próxima.
Como funciona a condição de entrada de venda?
Para uma entrada de venda, o preço deve tocar ou sair da banda superior do Canal Donchian, uma caixa de ação de preço deve se formar, e uma seta de venda deve aparecer. A venda é realizada no fechamento da vela ou na abertura da próxima.
Como devo gerenciar o risco nesta estratégia?
O stop loss inicial deve ser colocado no próximo fundo (para compras) ou topo (para vendas) oscilante. Saia da posição na seta oposta ou com um alvo de lucro predeterminado com uma relação mínima de 1:1.2.
É possível usar essa estratégia em qualquer par de moedas?
Sim, essa estratégia pode ser usada em qualquer par de moedas, tornando-a versátil e aplicável a diferentes mercados.
Conclusão
A Estratégia Ping Pong com Canal Donchian é uma abordagem simples e eficaz para identificar pontos de reversão de tendência no mercado. Utilizando indicadores robustos como o Canal Donchian, Double SV e Half Trend, esta estratégia oferece sinais claros de entrada e saída, ajudando os traders a maximizar seus lucros e minimizar os riscos.
Uma das grandes vantagens dessa estratégia é sua aplicabilidade em diferentes time frames e pares de moedas, tornando-a flexível e adaptável às necessidades individuais de cada trader. A simplicidade das regras de entrada e saída, aliada à clareza dos sinais dos indicadores, torna essa estratégia acessível tanto para traders iniciantes quanto para experientes.
Além disso, a gestão de risco rigorosa, com a colocação de stop loss nos pontos de oscilação e a definição de alvos de lucro com uma relação risco/recompensa favorável, é fundamental para a sustentabilidade e o sucesso a longo prazo no trading. Essa abordagem não só protege o capital do trader, mas também maximiza as oportunidades de lucro em cada operação.
Para quem busca uma estratégia de trading confiável, que combina análise técnica precisa com uma metodologia clara e eficaz, a Estratégia Ping Pong com Canal Donchian é uma excelente escolha. Seja em mercados de alta volatilidade ou em períodos de consolidação, essa estratégia se destaca por sua capacidade de adaptação e eficácia comprovada.
Em resumo, a implementação correta da Estratégia Ping Pong com Canal Donchian pode proporcionar aos traders uma ferramenta poderosa para navegar nos mercados financeiros com confiança e precisão. Com prática e disciplina, é possível aproveitar ao máximo as oportunidades de reversão de tendência, otimizando os resultados e alcançando um desempenho consistente e lucrativo.

Sou Ricardo Mendes, investidor independente desde 2017. Ao longo dos anos, me aprofundei em análise técnica e em estratégias de gestão de risco. Gosto de compartilhar o que aprendi e ajudar iniciantes a entender o mercado de Forex e Cripto de forma simples, prática e segura, sempre colocando a proteção do capital em primeiro lugar.
Aviso Importante:
O conteúdo apresentado tem caráter exclusivamente educativo e informativo. Nada aqui deve ser interpretado como consultoria financeira, recomendação de compra ou venda de ativos, ou promessa de resultados.
Criptomoedas, Forex, ações, opções binárias e demais instrumentos financeiros envolvem alto risco e podem levar à perda parcial ou total do capital investido.
Pesquise por conta própria (DYOR) e, sempre que possível, busque a orientação de um profissional financeiro devidamente habilitado antes de tomar qualquer decisão.
A responsabilidade pelas suas escolhas financeiras começa com informação consciente e prudente.
Atualizado em: fevereiro 1, 2026
















